Sharing is caring!
Going straight to the point, there are two important (and tricky) aspects in marketing mix modelling that also affect marketing plans.
They are a way to represent non-linear advertising effects through the time.
Quick Explanation
AdStock Effects, more technically called Advertising adstock or advertising carry-over effects, represent a way to describe the prolonged and lagged effects of media advertising.
For example I saw a specific commercial on TV or on the radio about my favourite yoghurt on Monday, but only on Sunday will I go to the grocery store to buy it.
Based on Gijsenberg et al. (Understanding the Role of Adstock in Advertising Decisions by Maarten J. Gijsenberg, Harald J. van Heerde, M. G. Dekimpe, Vincent R. Nijs :: SSRN), Adstock is the cumulative value of a brand’s advertising at a given point in time.
Advertising – Media Diminishing Returns, are a specific version of the law of diminishing returns.
It is also called the principle of diminishing marginal productivity and it is very applicable to Media and Marketing activities.
In general it describes the relationship between two variables, an input and an output variable, and how at some point increasing the input variable will progressively determine smaller increasing output.
What happens with diminishing returns in media is that any additional unit of advertising(Impressions/GRP) increases the response (sales units/clicks), but at a declining rate.
Some detailed notes on these two marketing concepts
Adstock effects were described for the first time by Simon Broadbent in his paper “One way TV advertisements work” in 1979.
In fact, one of the goals of the paper, pioneering the field, was to provide information on the response and decay of advertising’s effects.
Why this research popped-up in 1979 is related to a very interesting historical trend. In fact, according to Minnesota University, in 1965 TV penetration in the US was around 92.5%.
Not only, in 1979 US Gross TV advertising revenues rose to $10 billion, which, at the time, equates to 21% of all US advertising.

From an economic perspective as you can see from the plot below ads spending was getting more and more relevant.
For these reasons being able to measure the impact of a TV campaign started to be a headache for CMO and advertisers started conducting advanced and sophisticated studies like Broadbent’s work.

AdStock Equation
Coming back to the topic.
Adstock effects as said before are a way to model the lagged effects of advertising.
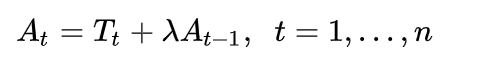
A quantitative way to describe it is through the following formulation:

Where At is the Adstock at time t, Tt is the value of the advertising variable at time t, and λ is the ‘decay’ or lag weight parameter.
For example the Adstock can be the impressions or engagement through the time of a particular channel.
Let’s take as an example a YouTube Campaign that was on air for one week reaching 100,000 people*.
We can model the adstock effects with different values of lambda, like 0.4 and 0.8.
Modelling Adstock effects for a channel means representing the additional effects on sales through time attributable to that specific channel.


In red are shown the effects when the campaign takes place, in blue the possible adstock effects.
As you can see the higher the coefficient lambda is, the higher is the modelled effect through the time.
How to choose the right adstock coefficient?
One way to choose the right lambda is through a t-test and the evaluation of the p-value.
Last year I came through an open source library developed in R by Meta called Robyn, and it can be useful to better explain this concept.
Robyn is an experimental, semi-automated Marketing Mix Modeling tool useful for understanding and optimising the Advertising Budget.
With Robyn it is also possible to model Adstock and Diminishing Returns.
Here the media decay can be modelled in two ways:
- Geometric Decay
- Weibull Distribution
The first one is the geometric decay, which is based on the geometric series Geometric series – Wikipedia.
And quoting the documentation:
“For example, an adstock of theta = 0.75 means that 75% of the ads in Period 1 carryover to Period 2.”

The second way to model the adstock, specifically the theta parameter, is by using the Weibull distribution (widely used in hydrology for other reasons).
With the Weibull distribution, unlike the geometric decay, it is possible to model time-varying decay rates but with a higher computational cost.
Diminishing Returns and Media, how to model them?
Mathematically the widely used starting formula (with some tweaks) is the following:

Which is easier to un understand graphically

One example is how increasing the YouTube ADS budget will generate a smaller increase in sales.
As you can see from the plot below when the Impressions, and so the Ad budget, increases the relationship with sales uplift is not linear but it follows the diminishing returns law.

If you planned any marketing campaign on Facebook you certainly saw the coverage/cost plot which is another representation of Diminishing Returns Effects.


Fundamentally, the diminishing returns help us to understand why at some point increasing the weekly YouTube budget will generate lower incremental output when all other inputs are held fixed.
Quoting Wikipedia:
“The law of diminishing returns states that in productive processes, increasing a factor of production by one unit, while holding all other production factors constant, will at some point return a lower unit of output per incremental unit of input” [1]
Why does this happen?
One intuitive reason is because your customers are not infinite and so are the people who can see your media activities.
What happens is that some of your potential customers are not interested, some have already bought your product and are watching the same ads again.
To give a broader perspective, also because are two of the major ad sellers globally, It is interesting to know that both Meta and Google proposed the Hill-Function to model the diminishing returns.
In some ways this function is similar (fixing some coefficients) to the previous that I used.
It is slightly more complex and requires more time for tuning it.
This function, commonly used in biochemistry and pharmacology, can also be used in media performance evaluation for modelling the diminishing returns.
The function is built through the available data and the collected response. (on that there are some issue that I will cover in another post)

You can find on that additional resources in the following papers:
- Challenges And Opportunities in Media Mix Modelling (by Google)
- Robyn by META Documentation for Marketing Mix Modelling
Yes, but why are we modelling adstock effects and diminishing returns?
Modelling these effects and evaluating your media campaigns impact through a marketing mix model, at the moment, is the best way to optimise the ad spend.
Global Advertising Spend in 2022 was over $ 750 billion.
According to WARC only on mobile in 2023 global ad spend is supposed to reach 362 billion (Global mobile ad spend set to reach $362bn in 2023, driven by short video and OTT apps | WARC)
Consequently having a robust process for tracking, evaluating and optimising Ad spend is a must-have for any company, the price of not having can be too high and a lot of money can be wasted without hitting the sales target.
If you have questions like the following ones drop me a line and book a free call:
- How can marketers best use the principle of diminishing marginal productivity to maximise the impact of their media campaigns?
- How can marketers determine when the cost of additional exposure outweighs the potential benefits?
- What strategies should marketers use to ensure that their media campaigns remain cost-effective?
- How can marketers measure the impact of their media campaigns in order to determine when diminishing returns have occurred?
- What methods can marketers use to identify which media channels are most effective for their target audiences?


